plt 為常用介面
載入其他重要的library
figure (from plt.Figure) 包含軸、點、文字等內容的物件
plt 來自import matplotlib.pyplot as plt
fig.savefig()存圖
{'eps': 'Encapsulated Postscript',
'jpg': 'Joint Photographic Experts Group',
'jpeg': 'Joint Photographic Experts Group',
'pdf': 'Portable Document Format',
'pgf': 'PGF code for LaTeX',
'png': 'Portable Network Graphics',
'ps': 'Postscript',
'raw': 'Raw RGBA bitmap',
'rgba': 'Raw RGBA bitmap',
'svg': 'Scalable Vector Graphics',
'svgz': 'Scalable Vector Graphics',
'tif': 'Tagged Image File Format',
'tiff': 'Tagged Image File Format',
'webp': 'WebP Image Format'}
使用 plt.plot(x,y), plt來自import matplotlib.pyplot as plt
多次呼叫 plt.plot可直接疊圖
在plt.plot() 中使用 color 參數指定顏色
plt.plot(x, np.sin(x - 0), color='blue') # by name
plt.plot(x, np.sin(x - 1), color='g') # short code (r, g, b, c, m, y, k)
plt.plot(x, np.sin(x - 2), color='0.75') # grayscale
plt.plot(x, np.sin(x - 3), color='#FFDD44') # hex code
plt.plot(x, np.sin(x - 4), color=(1.0,0.2,0.3)) # RGB tuple
plt.plot(x, np.sin(x - 5), color='chartreuse') # HTML color name
在plt.plot()中使用linestyle 參數指定線段樣式
plt.plot(x, x + 0, linestyle='solid')
plt.plot(x, x + 1, linestyle='dashed')
plt.plot(x, x + 2, linestyle='dashdot')
plt.plot(x, x + 3, linestyle='dotted')
# Short codes:
plt.plot(x, x + 4, linestyle='-') # solid
plt.plot(x, x + 5, linestyle='--') # dashed
plt.plot(x, x + 6, linestyle='-.') # dashdot
plt.plot(x, x + 7, linestyle=':') # dotted
plt.axis([xmin, xmax, ymin, ymax])設定圖片範圍限制,limits要用list包起來[xmin, xmax, ymin, ymax]
plt.title(), plt.xlabel(), plt.ylabel()
要呈現圖標,先在 plt.plot() 時增加 label 參數,最後呼叫 plt.legend()
設定:
Data: 空氣品質監測日平均值(一般污染物)
# https://data.moenv.gov.tw/dataset/detail/AQX_P_19
# https://drive.google.com/drive/folders/1OrMlB4hP8nnW_0bYwoHRO6DRXWNk1qvy?usp=sharing
!gdown '1P3qrYrynZhXDC13dVo5KhDXmld5OGZz1' --output 202310.csv
!gdown '1P1Kv1ZmPOYyi83DJKUIPoksM31vJJiS5' --output 202311.csv
!gdown '1P0mojOXgvVbXImnRTPQemm7dCkLDLKAC' --output 202312.csv
!gdown '1OwAf366l-iItXV4foJemw5QdMuD3JgMc' --output 202401.csvData
df202401 = pd.read_csv('202401.csv')
df202312 = pd.read_csv('202312.csv')
df202311 = pd.read_csv('202311.csv')
df202310 = pd.read_csv('202310.csv')
df_air = pd.concat([df202401,df202312,df202311,df202310],axis=0, ignore_index=True)
print(df_air.head()) "siteid" "sitename" "itemid" "itemname" "itemengname" "itemunit" \
0 80 關山 4 懸浮微粒 PM10 μg/m3
1 80 關山 5 氮氧化物 NOx ppb
2 80 關山 6 一氧化氮 NO ppb
3 80 關山 7 二氧化氮 NO2 ppb
4 80 關山 10 風速 WIND_SPEED m/sec
"monitordate" "concentration"
0 2024-01-01 33
1 2024-01-01 3.8
2 2024-01-01 0.5
3 2024-01-01 3.2
4 2024-01-01 2.2
Data Clean: Remove the quotes “” of column headers
new_headers = []
for header in df_air.columns: # data.columns is your list of headers
header = header.strip('"') # Remove the quotes off each header
new_headers.append(header) # Save the new strings without the quotes
df_air.columns = new_headers # Replace the old headers with the new list
print(df_air.head()) siteid sitename itemid itemname itemengname itemunit monitordate \
0 80 關山 4 懸浮微粒 PM10 μg/m3 2024-01-01
1 80 關山 5 氮氧化物 NOx ppb 2024-01-01
2 80 關山 6 一氧化氮 NO ppb 2024-01-01
3 80 關山 7 二氧化氮 NO2 ppb 2024-01-01
4 80 關山 10 風速 WIND_SPEED m/sec 2024-01-01
concentration
0 33
1 3.8
2 0.5
3 3.2
4 2.2
Data Clean: Data type
pd.to_numeric(List or Series, errors={‘ignore’, ‘raise’, ‘coerce’})
Data Clean: Data type
pd.to_datetime(List or Series, errors={‘ignore’, ‘raise’, ‘coerce’},format=)
請試著呈現林口測站在2024/1/1~2024/1/15的PM2.5濃度,要呈現figure legend,也要呈現x y 軸的名字
Hint:
df.sort_values(by=column) (df can be any DataFrame) siteid sitename itemid itemname itemengname itemunit monitordate \
978 9 林口 33 細懸浮微粒 PM2.5 μg/m3 2024-01-01
1262 9 林口 33 細懸浮微粒 PM2.5 μg/m3 2024-01-02
3105 9 林口 33 細懸浮微粒 PM2.5 μg/m3 2024-01-03
3337 9 林口 33 細懸浮微粒 PM2.5 μg/m3 2024-01-04
4521 9 林口 33 細懸浮微粒 PM2.5 μg/m3 2024-01-05
5502 9 林口 33 細懸浮微粒 PM2.5 μg/m3 2024-01-06
7452 9 林口 33 細懸浮微粒 PM2.5 μg/m3 2024-01-07
7901 9 林口 33 細懸浮微粒 PM2.5 μg/m3 2024-01-08
8853 9 林口 33 細懸浮微粒 PM2.5 μg/m3 2024-01-09
9946 9 林口 33 細懸浮微粒 PM2.5 μg/m3 2024-01-10
11105 9 林口 33 細懸浮微粒 PM2.5 μg/m3 2024-01-11
12241 9 林口 33 細懸浮微粒 PM2.5 μg/m3 2024-01-12
13228 9 林口 33 細懸浮微粒 PM2.5 μg/m3 2024-01-13
15186 9 林口 33 細懸浮微粒 PM2.5 μg/m3 2024-01-14
15416 9 林口 33 細懸浮微粒 PM2.5 μg/m3 2024-01-15
concentration DateTime
978 24.0 2024-01-01
1262 13.0 2024-01-02
3105 15.1 2024-01-03
3337 15.9 2024-01-04
4521 23.5 2024-01-05
5502 20.6 2024-01-06
7452 20.2 2024-01-07
7901 12.6 2024-01-08
8853 5.8 2024-01-09
9946 27.3 2024-01-10
11105 19.7 2024-01-11
12241 10.1 2024-01-12
13228 4.5 2024-01-13
15186 6.3 2024-01-14
15416 19.2 2024-01-15
請試著呈現林口測站在2024/1/1~2024/1/15的PM2.5濃度,要呈現figure legend,也要呈現x y 軸的名字
Ref:

sns.lineplot(x,y), x y 為資料點
sns.lineplot(data, x, y), x y 表示 column names
plt.plot()plt.plot(x,y,marker,color), marker 設定點的樣式, color 設定顏色
'o', '.', ',', 'x', '+', 'v', '^', '', 's', 'd' …
結合標記與線條樣式,以製作更複雜的圖表
使用額外的參數來自訂標記和線條
plt.scatterplt.scatter(x, y) 可針對對每個點的size, color及其他屬性進行個別控制。
Data:
Parameters:
c: color for each points sizealpha transparencycmap colormap (more details later)Iris dataset, visualizing four features at once.
Data:
# !pip3 install scikit-learn
from sklearn.datasets import load_iris
iris = load_iris()
features = iris.data.T
print(features)[[5.1 4.9 4.7 4.6 5. 5.4 4.6 5. 4.4 4.9 5.4 4.8 4.8 4.3 5.8 5.7 5.4 5.1
5.7 5.1 5.4 5.1 4.6 5.1 4.8 5. 5. 5.2 5.2 4.7 4.8 5.4 5.2 5.5 4.9 5.
5.5 4.9 4.4 5.1 5. 4.5 4.4 5. 5.1 4.8 5.1 4.6 5.3 5. 7. 6.4 6.9 5.5
6.5 5.7 6.3 4.9 6.6 5.2 5. 5.9 6. 6.1 5.6 6.7 5.6 5.8 6.2 5.6 5.9 6.1
6.3 6.1 6.4 6.6 6.8 6.7 6. 5.7 5.5 5.5 5.8 6. 5.4 6. 6.7 6.3 5.6 5.5
5.5 6.1 5.8 5. 5.6 5.7 5.7 6.2 5.1 5.7 6.3 5.8 7.1 6.3 6.5 7.6 4.9 7.3
6.7 7.2 6.5 6.4 6.8 5.7 5.8 6.4 6.5 7.7 7.7 6. 6.9 5.6 7.7 6.3 6.7 7.2
6.2 6.1 6.4 7.2 7.4 7.9 6.4 6.3 6.1 7.7 6.3 6.4 6. 6.9 6.7 6.9 5.8 6.8
6.7 6.7 6.3 6.5 6.2 5.9]
[3.5 3. 3.2 3.1 3.6 3.9 3.4 3.4 2.9 3.1 3.7 3.4 3. 3. 4. 4.4 3.9 3.5
3.8 3.8 3.4 3.7 3.6 3.3 3.4 3. 3.4 3.5 3.4 3.2 3.1 3.4 4.1 4.2 3.1 3.2
3.5 3.6 3. 3.4 3.5 2.3 3.2 3.5 3.8 3. 3.8 3.2 3.7 3.3 3.2 3.2 3.1 2.3
2.8 2.8 3.3 2.4 2.9 2.7 2. 3. 2.2 2.9 2.9 3.1 3. 2.7 2.2 2.5 3.2 2.8
2.5 2.8 2.9 3. 2.8 3. 2.9 2.6 2.4 2.4 2.7 2.7 3. 3.4 3.1 2.3 3. 2.5
2.6 3. 2.6 2.3 2.7 3. 2.9 2.9 2.5 2.8 3.3 2.7 3. 2.9 3. 3. 2.5 2.9
2.5 3.6 3.2 2.7 3. 2.5 2.8 3.2 3. 3.8 2.6 2.2 3.2 2.8 2.8 2.7 3.3 3.2
2.8 3. 2.8 3. 2.8 3.8 2.8 2.8 2.6 3. 3.4 3.1 3. 3.1 3.1 3.1 2.7 3.2
3.3 3. 2.5 3. 3.4 3. ]
[1.4 1.4 1.3 1.5 1.4 1.7 1.4 1.5 1.4 1.5 1.5 1.6 1.4 1.1 1.2 1.5 1.3 1.4
1.7 1.5 1.7 1.5 1. 1.7 1.9 1.6 1.6 1.5 1.4 1.6 1.6 1.5 1.5 1.4 1.5 1.2
1.3 1.4 1.3 1.5 1.3 1.3 1.3 1.6 1.9 1.4 1.6 1.4 1.5 1.4 4.7 4.5 4.9 4.
4.6 4.5 4.7 3.3 4.6 3.9 3.5 4.2 4. 4.7 3.6 4.4 4.5 4.1 4.5 3.9 4.8 4.
4.9 4.7 4.3 4.4 4.8 5. 4.5 3.5 3.8 3.7 3.9 5.1 4.5 4.5 4.7 4.4 4.1 4.
4.4 4.6 4. 3.3 4.2 4.2 4.2 4.3 3. 4.1 6. 5.1 5.9 5.6 5.8 6.6 4.5 6.3
5.8 6.1 5.1 5.3 5.5 5. 5.1 5.3 5.5 6.7 6.9 5. 5.7 4.9 6.7 4.9 5.7 6.
4.8 4.9 5.6 5.8 6.1 6.4 5.6 5.1 5.6 6.1 5.6 5.5 4.8 5.4 5.6 5.1 5.1 5.9
5.7 5.2 5. 5.2 5.4 5.1]
[0.2 0.2 0.2 0.2 0.2 0.4 0.3 0.2 0.2 0.1 0.2 0.2 0.1 0.1 0.2 0.4 0.4 0.3
0.3 0.3 0.2 0.4 0.2 0.5 0.2 0.2 0.4 0.2 0.2 0.2 0.2 0.4 0.1 0.2 0.2 0.2
0.2 0.1 0.2 0.2 0.3 0.3 0.2 0.6 0.4 0.3 0.2 0.2 0.2 0.2 1.4 1.5 1.5 1.3
1.5 1.3 1.6 1. 1.3 1.4 1. 1.5 1. 1.4 1.3 1.4 1.5 1. 1.5 1.1 1.8 1.3
1.5 1.2 1.3 1.4 1.4 1.7 1.5 1. 1.1 1. 1.2 1.6 1.5 1.6 1.5 1.3 1.3 1.3
1.2 1.4 1.2 1. 1.3 1.2 1.3 1.3 1.1 1.3 2.5 1.9 2.1 1.8 2.2 2.1 1.7 1.8
1.8 2.5 2. 1.9 2.1 2. 2.4 2.3 1.8 2.2 2.3 1.5 2.3 2. 2. 1.8 2.1 1.8
1.8 1.8 2.1 1.6 1.9 2. 2.2 1.5 1.4 2.3 2.4 1.8 1.8 2.1 2.4 2.3 1.9 2.3
2.5 2.3 1.9 2. 2.3 1.8]]
x/y 位置、大小與顏色都分別代表不同的資料維度。
Text(0, 0.5, 'sepal width (cm)')

plot vs. scatter: Efficiency Noteplt.plot 和 plt.scatter 都很不錯plt.plot 的效率較高,因為所有點都使用相同的樣式繪製plt.scatter 在處理大型資料集時效率較低,因為它允許對每個點進行個別自訂,必須逐一繪製每個點。試著看看空氣污染資料中,NO2濃度與SO2濃度有沒有相關?
因NO2和SO2資料筆數對不起來(有些日期有多筆資料),需要先處理
資料框.unstack()展開成寬表air_mean = df_air.groupby(['DateTime', 'sitename', 'itemengname']).concentration.mean().to_frame()
air_wide = air_mean.unstack()
print(air_wide) concentration \
itemengname AMB_TEMP CH4 CO NMHC NO NO2 NOx O3
DateTime sitename
2023-10-01 三義 26.3 NaN 0.27 NaN 0.9 3.6 4.5 31.1
三重 29.2 2.23 0.73 0.13 17.6 19.7 37.4 25.7
中壢 28.3 2.09 0.51 0.09 6.6 15.0 21.7 31.7
中山 28.7 2.10 0.34 0.03 1.5 9.6 11.2 39.0
二林 29.6 2.23 0.37 0.01 1.1 5.9 7.1 34.2
... ... ... ... ... ... ... ... ...
2024-01-15 馬公 20.5 2.00 0.26 0.02 0.8 3.6 4.5 55.8
馬祖 13.2 2.14 0.47 0.06 0.7 9.4 10.2 47.7
鳳山 21.7 2.20 0.65 0.24 3.2 24.4 27.7 32.4
麥寮 18.4 2.66 0.39 0.06 2.1 10.2 12.4 35.3
龍潭 15.8 NaN 0.38 NaN 4.2 15.2 19.5 33.5
itemengname PM10 PM2.5 RAIN_INT RH SO2 THC WIND_SPEED WS_HR
DateTime sitename
2023-10-01 三義 21.0 10.1 0.0 84.0 0.4 NaN 3.7 3.4
三重 23.0 11.4 NaN 74.0 0.8 2.36 NaN NaN
中壢 19.0 12.0 NaN 76.0 0.7 2.18 1.1 0.3
中山 23.0 11.7 NaN 81.0 0.6 2.13 2.0 1.6
二林 54.0 18.6 NaN 83.0 2.1 2.24 2.8 2.6
... ... ... ... ... ... ... ... ...
2024-01-15 馬公 28.0 20.5 NaN 73.0 0.5 2.02 5.3 4.7
馬祖 81.0 53.0 NaN 72.0 1.1 2.20 2.6 1.9
鳳山 59.0 28.2 NaN 58.0 1.8 2.44 0.6 0.5
麥寮 74.0 41.3 NaN 85.0 1.4 2.72 3.7 3.2
龍潭 32.0 19.6 NaN 88.0 1.4 NaN 4.6 4.2
[7562 rows x 16 columns]
試著看看空氣污染資料中,NO2濃度與SO2濃度有沒有相關? Ref:

使用泡泡圖呈現NO2與SO2的關係,並用風速(WIND_SPEED)當作泡泡大小,觀察這些資料是否有相關

plt.errorbarplt.errorbar(x, y, yerr=error size, fmt = style)在圖中加入Error bars
yerr 設定垂直Error bars的大小(長度)fmt 設定樣式 (same as in plt.plot)Data:
plt.errorbarPlot: plt.errorbar(x, y, yerr=error size, fmt = style)
可在plt.errorbar()中微調error bar樣式
ecolor: error bars顏色elinewidth: error bar 線段寬度capsize: error bar caps寬度使用 plt.errorbar()中的xerr 增加水平error bar
| Parameter | Description |
|---|---|
yerr |
Vertical error bar sizes |
xerr |
Horizontal error bar sizes |
fmt |
Format string for marker/line style |
ecolor |
Color of error bars |
elinewidth |
Line width of error bars |
capsize |
Size of caps at the ends of error bars |
plt.hist(data), data通常是List 或Series
可調整的參數
bins: Number of binsalpha: Transparencycolor, edgecolor: Color settings疊加多個直方圖histograms並設定透明度方便比較
Data:
使用dict(parameters)搭配**kwargs,將參數儲存後,方便多次使用
看看新竹與前鎮一氧化碳(CO)的資料分布是否有差異(疊在一張圖中)

plt.legend()label 的圖表元素都會出現在圖例中x = np.linspace(0, 10, 1000)
fig = plt.figure()
plt.plot(x, np.sin(x), '-b', label='Sine')
plt.plot(x, np.cos(x), '--r', label='Cosine')
plt.axis('equal')
plt.legend()
loc 參數控制位置 (e.g., 'upper left', 'lower center').frameon=False或frameon=True.ncol 設定排版(幾個columns)如果有線段不需要圖標,可以直接不設定label
label,並呼叫 plt.legend() 建立圖例。Data:
[[ 0. 0.01000984 0.02001868 ... -0.52711499 -0.53559488
-0.54402111]
[ 0. 0.01000934 0.02001768 ... -0.52708858 -0.53556805
-0.54399386]
[ 0. 0.01000784 0.02001467 ... -0.52700936 -0.53548755
-0.54391209]
...
[-0. -0.0085063 -0.01701176 ... 0.44793914 0.4551453
0.46230586]
[-0. -0.00845306 -0.01690528 ... 0.44513546 0.45229652
0.45941226]
[-0. -0.00839897 -0.01679711 ... 0.44228718 0.44940242
0.45647263]]
使用 plt.colorbar() 增加顏色對照表
使用預設的color map,並用cmap參數設定 (check plt.cm namespace (e.g., plt.cm.viridis, plt.cm.RdBu))
binary, viridis).RdBu, PuOr).rainbow, jet).plt.clim() 手動設定顏色範圍(以聚焦於特定的資料區間)plt.colorbar() 中使用 extend 參數來標示超出範圍的數值
可以用 plt.cm.get_cmap() 取得不連續的色塊,參數為哪個幾個色塊with number of bins
plt.axes透過在圖形座標(0 到 1 之間)中指定 [left, bottom, width, height],可以在圖中任意位置建立座標軸(axes)。
plt.subplot透過指定row、col和圖表索引plot index(從 1 開始,順序為從左到右、從上到下),可以建立子圖的網格 plt.subplot(row, col, plot index)
可使用plt.GridSpec(row,col)設定更複雜的子圖排版
| Method | Use Case | Access Pattern |
|---|---|---|
plt.axes |
Manual, precise placement | Variable names |
plt.subplot |
Simple grid, small number of subplots | Index (1-based) |
plt.GridSpec |
Complex, flexible layouts | Slicing, subplots |
使用平均值加減兩倍標準差以及加減三倍標準差當作管制界線,並使用matplotlib套件的axhline()函數將平均值與管制界線加入原有的折線圖中。
以下範例中axhline()函數共有以下輸入參數
若以三倍標準差當作管制界線,僅有幾個點超過兩個標準差,應在誤差範圍內
fig = plt.figure()
pm25Linkou = pm25Linkou.sort_values("DateTime")
plt.plot(pm25Linkou['DateTime'], pm25Linkou['concentration'])
plt.axhline(y=pm25Linkou['concentration'].mean(skipna=True),
color='g', linestyle='-')
plt.axhline(y=pm25Linkou['concentration'].mean(skipna=True)+
2*pm25Linkou['concentration'].std(),
color='y', linestyle=':')
plt.axhline(y=pm25Linkou['concentration'].mean(skipna=True)-
2*pm25Linkou['concentration'].std(),
color='y', linestyle=':')
plt.axhline(y=pm25Linkou['concentration'].mean(skipna=True)+
3*pm25Linkou['concentration'].std(),
color='r', linestyle=':')
plt.axhline(y=pm25Linkou['concentration'].mean(skipna=True)-
3*pm25Linkou['concentration'].std(),
color='r', linestyle=':')
plt.show()
若以三倍標準差當作管制界線,僅有幾個點超過兩個標準差,應在誤差範圍內

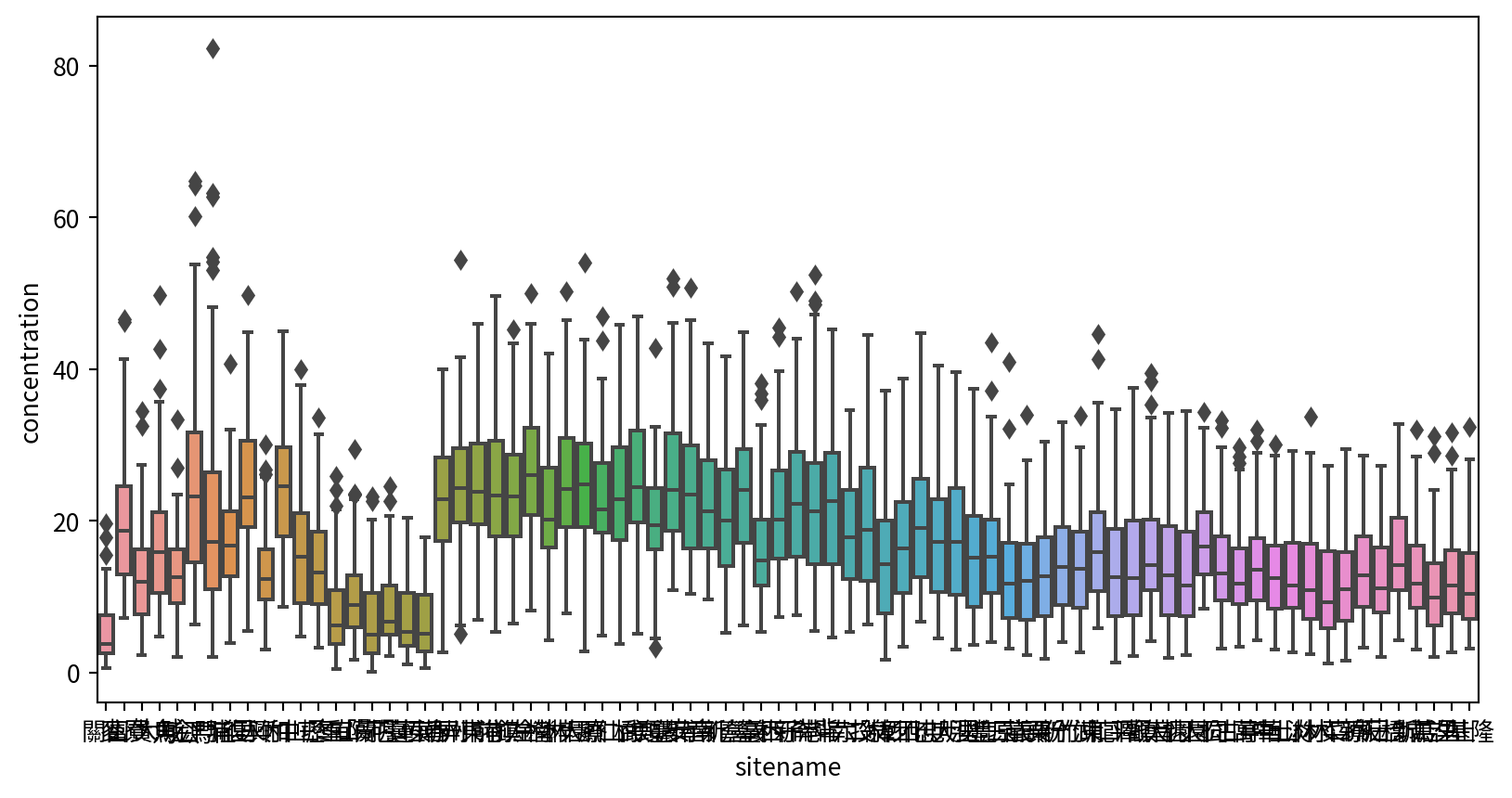
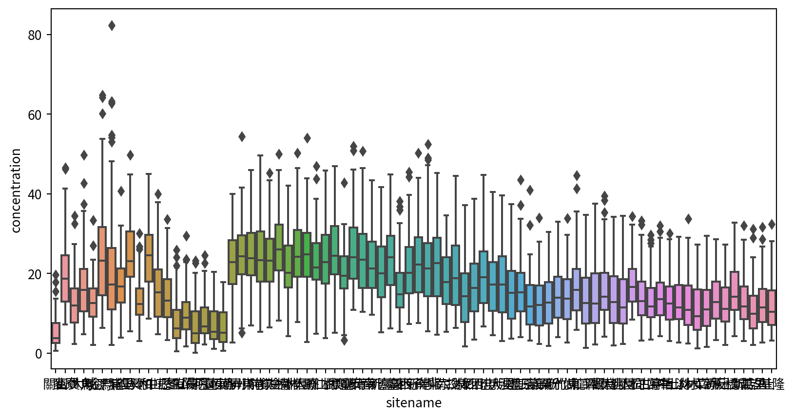
除了用直方圖得知PM2.5的濃度分佈外,如果想知道每個測站 PM2.5濃度 的分佈是否有差異,可使用盒鬚圖。
使用seaborn套件的boxplot()函數,可製作盒鬚圖,輸入參數為:

使用盒鬚圖比較各月PM2.5濃度有無差異
須先將月份取出,使用pandas功能,Series.dt.month,Series可以是指定資料框欄位
siteid sitename itemid itemname itemengname itemunit monitordate \
6 80 關山 33 細懸浮微粒 PM2.5 μg/m3 2024-01-01
21 83 麥寮 33 細懸浮微粒 PM2.5 μg/m3 2024-01-01
36 84 富貴角 33 細懸浮微粒 PM2.5 μg/m3 2024-01-01
51 85 大城 33 細懸浮微粒 PM2.5 μg/m3 2024-01-01
59 78 馬公 33 細懸浮微粒 PM2.5 μg/m3 2024-01-01
concentration DateTime Month
6 17.8 2024-01-01 1
21 32.5 2024-01-01 1
36 24.6 2024-01-01 1
51 27.5 2024-01-01 1
59 33.4 2024-01-01 1
Ref:

seaborn套件的heatmap()函數df_long = df_air[df_air['itemengname'].isin(["PM2.5","PM10","CO","NO2","O3"])]
df_long_linkou=df_long[df_long['sitename']=="林口"][["DateTime","itemengname","concentration"]]
df_wide_linkou = pd.pivot(df_long_linkou, index='itemengname', columns='DateTime',values='concentration')
print(df_wide_linkou)DateTime 2023-10-01 2023-10-02 2023-10-03 2023-10-04 2023-10-05 \
itemengname
CO 0.26 0.23 0.19 0.15 0.18
NO2 4.30 12.20 9.30 3.60 4.90
O3 44.10 39.60 36.90 39.90 41.90
PM10 16.00 33.00 26.00 13.00 11.00
PM2.5 12.60 14.10 9.30 6.70 3.60
DateTime 2023-10-06 2023-10-07 2023-10-08 2023-10-09 2023-10-10 ... \
itemengname ...
CO 0.23 0.27 0.16 0.17 0.21 ...
NO2 9.20 9.00 2.90 3.60 5.80 ...
O3 29.70 30.60 44.10 43.90 38.60 ...
PM10 13.00 15.00 7.00 7.00 9.00 ...
PM2.5 7.00 8.00 1.70 2.60 3.30 ...
DateTime 2024-01-06 2024-01-07 2024-01-08 2024-01-09 2024-01-10 \
itemengname
CO 0.33 0.34 0.3 0.2 0.41
NO2 12.30 7.80 13.4 7.5 12.20
O3 43.70 51.20 36.9 34.8 41.10
PM10 35.00 37.00 25.0 10.0 44.00
PM2.5 20.60 20.20 12.6 5.8 27.30
DateTime 2024-01-11 2024-01-12 2024-01-13 2024-01-14 2024-01-15
itemengname
CO 0.35 0.28 0.21 0.22 0.36
NO2 16.10 15.40 8.40 8.20 14.70
O3 34.00 34.20 38.00 41.10 34.00
PM10 37.00 21.00 11.00 10.00 32.00
PM2.5 19.70 10.10 4.50 6.30 19.20
[5 rows x 97 columns]
月曆熱度圖是熱度圖的延伸,一般來說,月曆熱度圖的各維度為:
通常是為了觀察或呈現某一數值是否有季節或是隨著星期變化的趨勢。
calmap套件提供非常快速製作月曆熱度圖的方法。
在製作月曆熱度圖時,需將日期與感興趣的資料取出,並將日期設定為index
pm25Linkou2023 = pm25Linkou[pm25Linkou["DateTime"]<'2024-01-01']
pm25Linkou2023=pm25Linkou2023.set_index(['DateTime'])
print(pm25Linkou2023) siteid sitename itemid itemname itemengname itemunit monitordate \
DateTime
2023-10-01 9 林口 33 細懸浮微粒 PM2.5 μg/m3 2023-10-01
2023-10-02 9 林口 33 細懸浮微粒 PM2.5 μg/m3 2023-10-02
2023-10-03 9 林口 33 細懸浮微粒 PM2.5 μg/m3 2023-10-03
2023-10-04 9 林口 33 細懸浮微粒 PM2.5 μg/m3 2023-10-04
2023-10-05 9 林口 33 細懸浮微粒 PM2.5 μg/m3 2023-10-05
... ... ... ... ... ... ... ...
2023-12-27 9 林口 33 細懸浮微粒 PM2.5 μg/m3 2023-12-27
2023-12-28 9 林口 33 細懸浮微粒 PM2.5 μg/m3 2023-12-28
2023-12-29 9 林口 33 細懸浮微粒 PM2.5 μg/m3 2023-12-29
2023-12-30 9 林口 33 細懸浮微粒 PM2.5 μg/m3 2023-12-30
2023-12-31 9 林口 33 細懸浮微粒 PM2.5 μg/m3 2023-12-31
concentration
DateTime
2023-10-01 12.6
2023-10-02 14.1
2023-10-03 9.3
2023-10-04 6.7
2023-10-05 3.6
... ...
2023-12-27 10.1
2023-12-28 9.2
2023-12-29 9.4
2023-12-30 12.9
2023-12-31 25.8
[82 rows x 8 columns]
calmap.yearplot(資料框)即可畫月曆熱度圖
使用月曆熱度圖視覺化2023年NVDA股價變化,波動是否跟星期幾有關?
首先先載入股價資料,並將日期設定為index,且做好日期轉換
stock_data = pd.read_csv("https://raw.githubusercontent.com/CGUIM-BigDataAnalysis/BigDataCGUIM/master/EMBA_BigData/Data/NVDA.csv",index_col="Date")
stock_data.index = pd.to_datetime(stock_data.index)
stock_data.head()| Open | High | Low | Close | Adj Close | Volume | |
|---|---|---|---|---|---|---|
| Date | ||||||
| 2019-03-29 | 44.985001 | 45.134998 | 44.477501 | 44.889999 | 44.585125 | 45689600 |
| 2019-04-01 | 45.814999 | 45.875000 | 45.092499 | 45.570000 | 45.260521 | 48382400 |
| 2019-04-02 | 45.812500 | 46.197498 | 45.380001 | 45.750000 | 45.439281 | 44092000 |
| 2019-04-03 | 46.250000 | 47.750000 | 46.200001 | 47.154999 | 46.834740 | 78350400 |
| 2019-04-04 | 47.000000 | 47.492500 | 46.432499 | 47.064999 | 46.745358 | 45737600 |
下一步則是安裝套件
參考:

Treemap(矩形式樹狀結構繪圖法)是以二維平面的方式展示包含階層結構(hierarchical)形式的統計資訊,可設定的值包括面積、顏色以及階層。
使用squarify套件的功能,設定sizes, labels即可
!pip3 install squarify
import squarify
squarify.plot(sizes=df_sq['nb_people'],
label=df_sq['group'], alpha=.8 )
plt.axis('off')
plt.show()Requirement already satisfied: squarify in /Library/Frameworks/Python.framework/Versions/3.11/lib/python3.11/site-packages (0.4.4)
[notice] A new release of pip is available: 24.0 -> 25.1.1
[notice] To update, run: pip install --upgrade pip

https://github.com/yijutseng/DataVisPython/blob/master/DataVisCode.ipynb